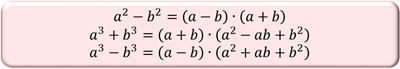
Ти вже знайомий з формулами скороченного множення

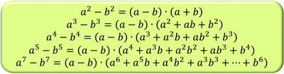
Якщо продовжити аналіз то отримуються наступні формули

У даній структурі можна побачити чітку закономірність і відповідно записати загальну формулу
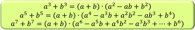
Складніше розкладати на множники суму \(n-x\) степенів.

Загальну формулу можна запропонувати тільки для непарних степенів.
Дані розкладання застосовують для спрощення виразів, розв'язування рівнянь і визначення подільності.
Приклад:
№1 Спрости вираз
Приклад:
№2 Знайди дільник виразу
Відповідь: \(5\) — дільник заданого виразу
Приклад:
№3 Знайди корінь роівняння
Очевидно, що число \(5\) не може бути коренем рівняння, тоді вираз .
Домнож праву і ліву частини рівняння на вираз \(x - 5\)
За визначеним раніше \(5\) сторонній корінь
Відповідь: \(x = -5\)