Основна властивість числового дробу полягає в тому, що числове значення дробу не зміниться, якщо його чисельник і знаменник помножити або поділити на одне й те ж саме, відмінне від нуля, число.
Множення чисельника і знаменника дробу на число називають розширенням дробу (зведенням дробу до нового знаменника), а ділення — скороченням.
|
1.
|
|
Чисельник і знаменник дробу помножили на \(4\), тобто дріб розширили на \(4\).
(Знаменник також помножили на \(4\)!)
|
|
2.
|
![]() |
Чисельник і знаменник дробу поділили на \(7\), тобто дріб скоротили на \(7\). |
З раціональними дробами можна виконувати ті ж самі дії, що і з числовими дробами: додавання, віднімання, множення, ділення або піднесення до степеня.
Під час виконання цих дій та спрощення раціональних дробів доводиться використовувати основну властивість раціонального дробу.
Основна властивість раціонального дробу полягає в тому, що значення раціонального дробу не зміниться, якщо його чисельник і знаменник помножити або поділити на той самий вираз, значення якого відмінне від нуля.
|
1.
|
|
Чисельник і знаменник помножили на одночлен \(2x\); дріб розширили на \(2x\).
(Знаменник також помножили на \(2x\)!)
|
|
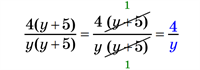
2.
|
![]() |
Чисельник і знаменник поділили на двочлен \((y + 5)\); дріб скоротили. |
Зверни увагу!
При виконанні дій з раціональними дробами мається на увазі, що всі дії виконуються тільки на області визначення цих дробів (тобто відповідають допустимим значенням змінної). Тож область визначення дробу знаходиться тільки тоді, коли цього вимагає умова завдання.
Приклад:
Скороти дріб: .
Розв’язання
1. Числа \(26\) і \(169\) мають спільний множник \(13\), тому дріб можна скоротити на \(13\):
2. Скорочуються степені з однаковими основами:
2.1 Степені і скорочуються діленням на менший степінь :
2.2 Скорочуються рівні множники \(c\). Змінну \(b\) не можна скоротити, оскільки в знаменнику дробу такої змінної немає.
Відповідь. Скоротивши дріб , отримаємо .

