У який спосіб можна кількісно виміряти силу, що виникає між електрично зарядженими тілами? Від чого вона залежить?
Точковий заряд — це заряджене тіло, розмірами якого можна знехтувати порівняно з відстанями від нього до інших заряджених тіл, що розглядаються.
Точковий заряд є не реальним об’єктом, а фізичною моделлю. Необхідність уведення такої моделі спричинена тим, що в загальному випадку взаємодія заряджених тіл залежить від багатьох чинників, отже, не існує єдиної простої формули, яка описує електричну взаємодію для будь-якого довільного випадку.
Уперше закон взаємодії нерухомих зарядів був установлений французьким фізиком Шарлем Кулоном\((1785\ р)\). У своїх дослідах Кулон вимірював сили притягування й відштовхування заряджених кульок за допомогою сконструйованого ним приладу — крутильних терезів.

У скляний циліндр на спеціальному тримачі було поміщено заряджену кульку \(1\). Обертаючи кришку циліндра, дослідник домагався, щоб кульки \(1\) і \(2\) доторкнулись одна до одної і частина заряду з кульки \(1\) перейшла на кульку \(2\). Однойменні заряди відштовхуються, тому кульки розходилися на деяку відстань. За кутом закручування дроту Кулон визначав силу взаємодії зарядів.
Потім, обертаючи кришку циліндра, дослідник змінював відстань між кульками та знову вимірював силу їх відштовхування. Виявилося: коли відстань збільшувалась у два, три, чотири рази, сила взаємодії кульок зменшувалася відповідно в чотири, дев’ять і шістнадцять разів.
Потім, обертаючи кришку циліндра, дослідник змінював відстань між кульками та знову вимірював силу їх відштовхування. Виявилося: коли відстань збільшувалась у два, три, чотири рази, сила взаємодії кульок зменшувалася відповідно в чотири, дев’ять і шістнадцять разів.
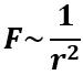
Сила F взаємодії двох точкових зарядів обернено пропорційна квадрату відстані r між ними:

Для виявлення залежності сили F від зарядів кульок Кулон застосував такий прийом. До наелектризованої кульки \(1\) він торкався незарядженою кулькою \(3\) такого самого розміру. Оскільки при цьому заряд розподілявся порівну між обома кульками, заряд пробної кульки \(1\) зменшувався вдвічі. Виявилося, що в стільки ж разів зменшилась і сила електричної взаємодії між \(1\) та \(2\) кульками.
Сила F взаємодії двох точкових зарядів
і
, прямо пропорційна добутку модулів цих зарядів:
На підставі проведених дослідів Кулон установив закон, який згодом отримав його ім'я.
Закон Кулона
, де
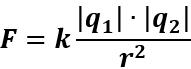
Сила F взаємодії двох нерухомих точкових зарядів
і
прямо пропорційна добутку модулів цих зарядів і обернено пропорційна квадрату відстані r між ними:
, деk — коефіцієнт пропорційності.

Сили Кулона напрямлені вздовж умовної прямої, яка з’єднує точкові заряди, що взаємодіють.


Джерела:
Фізика : підруч. для 8 кл. загальноосвіт. навч. закл. / [В. Г. Бар’яхтар Я. Божинова, С. О. Довгий, О. О. Кірюхіна] ; за ред. В. Г. Бар’яхтара О. Довгого. — X. : Вид-во «Ранок», 2016. — 240 с. : іл., фот.
Фізика : підруч. для 8 кл. загальноосвіт. навч. закладів / Т. М. Засєкіна, Д. О. Засєкін. — К. : УОВЦ «Оріон», 2016. — 256 с.
https://www.fizikanova.com.ua