Представником органічних речовин, у молекулах яких гідроксильні групи безпосередньо сполучені з бензеновим кільцем, є фенол. Склад молекули цієї речовини розглядають як похідну бензену, у молекулі якого один атом Гідрогену заміщений на характеристичну гідроксильну групу .
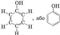
Структурна і молекулярна формули фенолу:


Традиційна назва фенолу — карболова кислота. Фенол відкрили у складі кам'яновугільної смоли. Першим хімічну будову фенолу та метод його синтезу із саліцилової кислоти запропонував французький хімік Шарль Фредерік Жерар (ї(\(1816\) - \(1856\)).
Як бачимо зі структурної формули та моделі молекули фенолу, гідроксильна група безпосередньо сполучена з атомом Карбону бензенового кільця. Отже, молекула фенолу має форму правильного шестикутника, у якому атоми Карбону розміщуються під кутом \(120\)°, тобто молекула фенолу є плоскою. Вуглеводневий замісник і характеристична група в молекулі фенолу мають взаємний вплив. Електрони бензенового кільця вступають у взаємодію з неподіленою електронною парою атома Оксигену, залучають її до своєї сфери й відтягують на себе. Унаслідок цього полярність зв'язку збільшується, а на атомах Карбону в положеннях \(2\), \(4\), \(6\) відносно атома Карбону, сполученого з гідроксильною групою, накопичуються часткові негативні заряди:
Фізичні властивості
Фенол — безбарвна кристалічна речовина з характерним запахом (запах гуаші, або так званий «карболовий запах»). Отруйний. У разі потрапляння на шкіру спричиняє хімічні опіки. На повітрі частково окиснюється, набуваючи рожевого забарвлення. Температура плавлення фенолу становить \(42\) °С, тому він добре розчиняється у гарячій воді. У холодній воді фенол розчиняється обмежено з утворенням емульсії. За температури понад \(66\) °С розчинність фенолу у воді стає необмеженою. За нагрівання близько \(90\) °С фенол займається.
Бензенове кільце в молекулі фенолу впливає на гідроксильну групу, унаслідок чого збільшується полярність зв'язку . Тому між молекулами фенолу утворюються водневі зв'язки, що, наприклад, зумовлюють більш високу (\(181,8\) °С) його температуру кипіння порівняно з температурою кипіння циклогексан-\(1\)-олу (\(161\) °С. Фенол має антисептичну дію.
Джерела:
Хімія (рівень стандарту): підруч. для 10 кл. закл. зак. серед. освіти / М.М. Савчин. — Київ: Грамота, 2018. с. 70-71.
Хімія (рівень стандарту): підруч. для 10-го кл. закл. заг. серед. освіти / Г.А. Лашевська, А.А. Лашевська, С.Р. Ющенко. — Київ: Генеза, 2018. с. 79.
Хімія (рівень стандарту): підруч. для 10 класу закл. загал. серед. освіти / О.В. Григорович. — Харків: Ранок, 2018. с. 102-104.