Вхід на сайт
Вхід на сайт
Реєстрація
МійВчитель
Початок
Вебінари
Новини сайту
Контакти
Мій+
ТОПи
Математичний турнір
Предмети
Перевірочні роботи
Відправити відгук
Розгорнути
Оновлення
Пошук на сайті
Предмети
ЗНО/НМТ
Біологія
2018 рік
Основна сесія
6.
Завдання 6
Запитання:
1
Б.
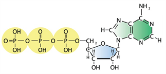
На рисунку зображено молекулу
полінуклеотиду
жиру
нуклеотиду
амінокислоти
Джерела:
https://testportal.gov.ua/
Вхід на сайт
або
Реєстрація
Попереднє завдання
Повернутись до теми
Наступне завдання
Відправити відгук
Знайшли помилку?
Розкажіть нам!
Ви повинні авторизуватися, щоб відповісти на завдання. Будь ласка, увійдіть в свій профіль на сайті або зареєструйтеся.
Вхід на сайт
або
Реєстрація