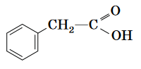
Установіть відповідність між характеристичною (функціональною) групою та формулою речовини, молекула якої містить цю групу.
![]() |
|
![]() |
|
![]() |
|
![]() |
|
![]() |
Джерела:
https://testportal.gov.ua/
Ви повинні авторизуватися, щоб відповісти на завдання. Будь ласка, увійдіть в свій профіль на сайті або зареєструйтеся.




