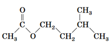
За наведеною структурною формулою речовини визначте реагенти, у результаті взаємодії яких утворюється ця сполука.

Джерела:
Ви повинні авторизуватися, щоб відповісти на завдання. Будь ласка, увійдіть в свій профіль на сайті або зареєструйтеся.