Вхід на сайт
Вхід на сайт
Реєстрація
МійВчитель
Початок
Вебінари
Новини сайту
Контакти
Мій+
ТОПи
Математичний турнір
Предмети
Перевірочні роботи
Відправити відгук
Розгорнути
Оновлення
Пошук на сайті
Предмети
ЗНО/НМТ
Хімія
2017 рік
Додаткова сесія
31.
Завдання 31
Запитання:
1
Б.
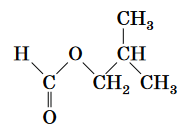
Унаслідок кислотного гідролізу речовини, структурну формулу якої наведено, утворюється
метанова кислота й 2-метилпропан-1-ол
2-метилпропанова кислота й метанол
метанова кислота й бутан-1-ол
бутанова кислота й метанол
Джерела:
https://testportal.gov.ua/
Вхід на сайт
або
Реєстрація
Попереднє завдання
Повернутись до теми
Наступне завдання
Відправити відгук
Знайшли помилку?
Розкажіть нам!
Ви повинні авторизуватися, щоб відповісти на завдання. Будь ласка, увійдіть в свій профіль на сайті або зареєструйтеся.
Вхід на сайт
або
Реєстрація