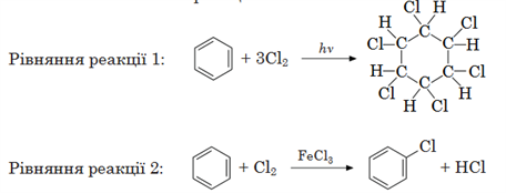
Бензен реагує з хлором як за освітлення, так і за наявності каталізатора.
Укажіть типи хімічних реакцій 1 і 2.

Джерела:
Ви повинні авторизуватися, щоб відповісти на завдання. Будь ласка, увійдіть в свій профіль на сайті або зареєструйтеся.