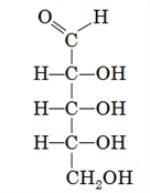
Речовина X реагує зі свіжоосадженим за надлишку лугу купрум(II) гідроксидом, унаслідок чого утворюється прозорий розчин темно-синього кольору. Також речовина X вступає в реакцію «срібного дзеркала» з амоніачним розчином аргентум(I) оксиду за нагрівання. Укажіть формулу речовини X.
Джерела:
Ви повинні авторизуватися, щоб відповісти на завдання. Будь ласка, увійдіть в свій профіль на сайті або зареєструйтеся.