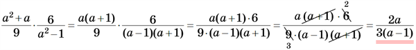
Щоб перемножити дроби, чисельники та знаменники яких є многочленами, потрібно:
-
розкласти ці многочлени на множники (якщо це можливо);
-
помножити окремо чисельник на чисельник і окремо знаменник на знаменник дробів;
-
добуток чисельників поділити на добуток знаменників.
Приклад:

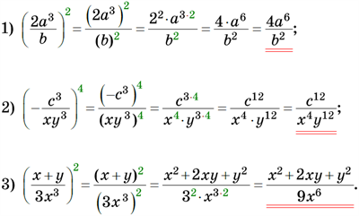
Знаходження значення степеня
називають піднесенням до степеня.
Степенем раціонального дробу
з натуральним показником \(n\) називають добуток \(n\) множників, кожний із яких дорівнює
:

Степінь дробу тотожно дорівнює дробу, в якого чисельник є степенем чисельника, а знаменник — степенем знаменника:

Приклад:
