Щоб помножити дріб на дріб, треба перемножити окремо чисельники й окремо знаменники та записати перший добуток чисельником, а другий — знаменником дробу. Це правило множення дробів також поширюється й на добуток трьох і більше множників.

Добуток раціональних дробів тотожно дорівнює дробу, чисельник якого дорівнює добутку чисельників, а знаменник — добутку знаменників перемножуваних дробів.
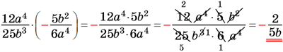
За можливості, отриманий дріб скорочують. Однак, скорочення дробів доцільно виконувати в процесі множення:
Добуток визначений тільки для тих значень змінних, за яких знаменники множників не дорівнюють нулю.
Тобто, якщо та — два раціональні дроби, де \(A\), \(B\), \(C\), \(D\) — многочлени, то , де .
Приклад:
Виконай множення: .
Розв’язання
Добутком додатного та від'ємного чисел є від'ємне число, тому перед добутком ставимо знак «мінус».
.