Для того, щоб скоротити раціональний дріб, потрібно чисельник і знаменник дробу розкласти на множники. Якщо виявиться, що чисельник і знаменник мають спільні множники, то дріб можна скоротити на ці спільні множники.
Прийоми розкладання многочленів на множники:
- винесення спільного множника за дужки;
- спосіб групування;
- використання формул скороченого множення.
![]() |
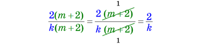
дріб скоротили на двочлен
\((m + 2)\);
|
![]() |
чисельник і знаменник дробу розклали на множники; дріб скоротили на спільний множник чисельника і знаменника \((x – y)\); |
![]() |
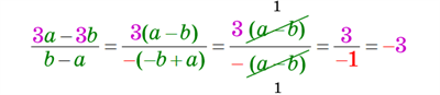
чисельник і знаменник дробу розклали на множники; дріб скоротили на \((a - b)\); |
![]() |
чисельник дробу розклали на множники за допомогою формули квадрата суми; у знаменнику винесли за дужки спільний множник; дріб скоротили на спільний множник чисельника і знаменника \((m + n)\).
|
Формули скороченого множення, які використовують для розкладання многочленів на множники
Квадрат суми: ;
Квадрат різниці: ;
Сума кубів: ;
Різниця кубів: .
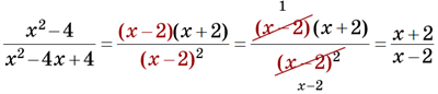
Приклад:
Скороти дріб: .
Розв'язання
1. Чисельник і знаменник дробу розкладаємо на множники, використовуючи формули різниці квадратів і квадрата різниці:
![]() |
2. Скорочуємо дріб на загальний множник — двочлен \((x-2)\):

Приклад:
Зведи дріб до знаменника .
Розв'язання
1. Щоб зрозуміти, як розширити дріб , треба новий знаменник, тобто вираз , розкласти на множники:
2. Порівнюємо отриманий вираз зі знаменником дробу \(x + 2\) та робимо висновок, що додатковим множником цього дробу буде вираз \(3(x-2)\):

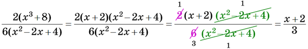
Приклад:
Спрости вираз:
Розв'язання
1. У чисельнику за дужки виносимо спільний множник \(2\), а в знаменнику — спільний множник \(6\):
2. Вираз розкладаємо на множники, використовуючи формулу суми кубів, а потім дріб скорочуємо:





