Якщо задано якийсь раціональний вираз \(A\), то, помноживши його на \(-1\), отримуємо .
Два раціональних вирази \(A\) і \(-A\) називають взаємно протилежними раціональними виразами, якщо їхня сума дорівнює \(0\), тобто
.
Протилежні вирази так само, як і протилежні числа, відрізняються один від одного лише знаком.
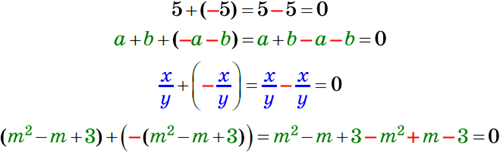
Приклади взаємно протилежних виразів:
- \(5\) і \(-5\);
- \((a+b)\) і \((-a-b)\);
- і ;
- \((m^2-m+3)\) і \((-m^2+m-3)\).
Це так, оскільки:

Вирази \((m^2-m+3)\) та \((-m^2+m-3)\) — це взаємно протилежні многочлени.
Виконуючи дії з дробовими раціональними виразами, чисельник або знаменник дробу досить часто доводиться замінювати протилежним виразом.
Але, щоб значення дробу не змінилося, потрібно дотримуватися закону зміни знаків. Він полягає в тому, що значення дробу не зміниться, якщо змінити знаки на протилежні:
-
у чисельника та знаменника дробу;
-
у чисельника та всього дробу;
-
у знаменника та всього дробу.
Якщо буквами \(A\) і \(B\) позначимо чисельник і знаменник раціонального дробу, закон зміни знаків можна записати так:

Цей закон діє лише тоді, коли
.
| 1) |
|
змінено знаки в чисельнику та знаменнику;
|
| 2) |
|
змінено знак у чисельнику та перед дробом;
|
| 3) |
|
змінено знак у знаменнику та перед дробом.
|
У правильності кожної рівності можна переконатися, підставивши замість змінної будь-яке число з області визначення дробу.
Перетворення є правильним за всіх значень \(m\), окрім \(m=0\).
Перевіримо це для \(m=1\) та \(m=10\)
Якщо \(m=1\), тоді
Якщо \(m=10\), тоді