Ми вже знаємо про послідовне і паралельне з'єднання провідників:



Електричні кола, з якими доводиться мати справу на практиці, складаються з кількох різних споживачів, які можуть бути з’єднані між собою послідовно, паралельно або послідовно й паралельно(змішане з’єднання).
У разі розрахунку складних кіл зі змішаним з’єднанням провідників зручно покроково спрощувати схему.


Розглянемо приклад:
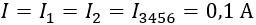
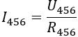
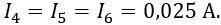
Знайди силу струму в кожному резисторі. Опір кожного резистора \(120\ Ом\), а напруга на ділянці кола \(33\ В\).
При розв’язанні даної задачі будемо покроково спрощувати схему.
При розв’язанні даної задачі будемо покроково спрощувати схему.
![]() | ![]() | ![]() | ![]() |
| а) | б) | в) | г) |



Відповідно до закону Ома:
; 
Будемо розглядати еквівалентні схеми у зворотному напрямі
Згідно із законом Ома:
Відповідно до закону Ома:
; 
; 
Отже,
Джерела:
Фізика : підруч. для 8 кл. загальноосвіт. навч. закл. / [В. Г. Бар’яхтар Я. Божинова, С. О. Довгий, О. О. Кірюхіна] ; за ред. В. Г. Бар’яхтара О. Довгого. — X. : Вид-во «Ранок», 2016. — 240 с. : іл., фот.
Фізика : підруч. для 8 кл. загальноосвіт. навч. закладів / Т. М. Засєкіна, Д. О. Засєкін. — К. : УОВЦ «Оріон», 2016. — 256 с.
https://www.fizikanova.com.ua



