При паралельному з’єднанні споживачів (провідників) виводи кожного з них приєднують до спільної для всіх пари затискачів (вузлові точки кола).

Зверни увагу!
Якщо одна з паралельно з’єднаних ламп вийде з ладу, то друга продовжить світитися, бо через її нитку розжарення все одно буде проходити струм.
Розглянемо електричне коло, що містить дві паралельно з’єднані лампи, які через ключ з’єднані з джерелом струму. Замкнемо електричне коло та виміряємо наругу на різних ділянках електричного кола.(зверни увагу на покази приладів)



Загальна напруга на ділянці та напруга на кожному з паралельно з'єднаних провідників є однаковою:
Розглянемо те саме електричне коло й будемо вимірювати амперметром силу струму на різних ділянках кола.(зверни увагу на показиприладів)



У разі паралельного з'єднання провідників сила струму в нерозгалуженій частині кола дорівнює сумі сил струмів у відгалуженнях (окремих вітках):
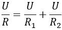
Щоб обчислити загальний опір R ділянки кола, яка складається з двох паралельно з’єднаних ламп, скористаємося співвідношенням:
Позначивши опори ламп як
і
та застосувавши закон Ома, можемо переписати це співвідношення у вигляді:

В разі паралельного з’єднання:
Отже,


Отримані співвідношення для напруги, сили струму та опору справджуються для будь-якої кількості паралельно з’єднаних провідників:

n — кількість провідників
Джерела:
Фізика : підруч. для 8 кл. загальноосвіт. навч. закл. / [В. Г. Бар’яхтар Я. Божинова, С. О. Довгий, О. О. Кірюхіна] ; за ред. В. Г. Бар’яхтара О. Довгого. — X. : Вид-во «Ранок», 2016. — 240 с. : іл., фот.
Фізика : підруч. для 8 кл. загальноосвіт. навч. закладів / Т. М. Засєкіна, Д. О. Засєкін. — К. : УОВЦ «Оріон», 2016. — 256 с.
https://www.fizikanova.com.ua