При послідовному з’єднанні споживачів (провідників) їх з’єднують по черзі один за одним без розгалужень проводів між ними.
Зверни увагу!
Якщо один із послідовно з’єднаних провідників вийде з ладу, то решта теж не працюватимуть, бо коло буде розімкненим.
Розглянемо електричне коло з послідовно з'єднаних джерела струму, двох електроламп, амперметра та вимикача. Замкнемо електричне коло та виміряємо силу струму на різних ділянках електричного кола. (зверни увагу на покази приладів)




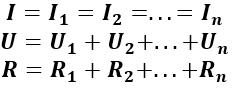
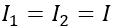
У разі послідовного з'єднання провідників загальна сила струму в колі та сила струму в кожному провіднику однакові:
Виміряємо напругу на різних ділянках електричного кола, яке складене з послідовно з’єднаних провідників.(зверни увагу на покази приладів)




Загальна напруга U на двох послідовно з'єднаних провідниках дорівнює сумі напруги на першому провіднику та напруги на другому провіднику:
Для обчислення загального опору R ділянки кола, яка складається з двох послідовно з’єднаних провідників опорами і , скористаємося співвідношенням:
Застосувавши закон Ома, можемо переписати це співвідношення так:
В разі послідовного з’єднання:
Отже,
Якщо ділянка кола складається з кількох послідовно з’єднаних провідників, загальний опір ділянки дорівнює сумі опорів окремих провідників:
Отримані співвідношення для сили струму, напруги та опору справджуються для будь-якої кількості послідовно з’єднаних провідників:

n — кількість провідників
Джерела:
Фізика : підруч. для 8 кл. загальноосвіт. навч. закл. / [В. Г. Бар’яхтар Я. Божинова, С. О. Довгий, О. О. Кірюхіна] ; за ред. В. Г. Бар’яхтара О. Довгого. — X. : Вид-во «Ранок», 2016. — 240 с. : іл., фот.
Фізика : підруч. для 8 кл. загальноосвіт. навч. закладів / Т. М. Засєкіна, Д. О. Засєкін. — К. : УОВЦ «Оріон», 2016. — 256 с.
https://www.fizikanova.com.ua