Повторимо вивчений раніше матеріал (\(7\) клас).
Кінематика(від. грецьк. «кінематос» — рух) — це розділ механіки, що вивчає рух тіл і при цьому не розглядає причин, якими цей рух викликаний.
Механічний рух — це зміна з часом положення тіла в просторі відносно інших тіл.
Матеріальна точка — це фізична модель тіла, розмірами якого в умовах задачі можна знехтувати.
Траєкторія руху — це уявна лінія, яку описує в просторі точка, що рухається.
За формою траєкторії рух тіл поділяють на прямолінійний і криволінійний.
Шлях — це фізична величина, яка дорівнює довжині траєкторії. (скалярна фізична величина).
Переміщення
— напрямлений відрізок прямої, який з’єднує початкове і кінцеве положення тіла. (векторна фізична величина).

Рівномірний прямолінійний рух — це механічний рух при якому тіло за будь-які рівні інтервали часу здійснює однакові переміщення.
Зверни увагу!
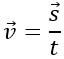
Швидкість
такого руху не змінюється ані за значенням, ані за напрямком.

Під час руху швидкість може змінюватися дуже стрімко (рух кулі в рушниці, старт ракети, розбіг літака) і порівняно повільно (початок руху потяга, гальмування автобуса).
Як охарактеризувати стрімкість зміни швидкості?

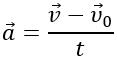
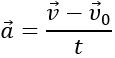
Прискорення — це векторна фізична величина, яка характеризує швидкість зміни швидкості руху тіла й дорівнює відношенню зміни швидкості руху тіла до інтервалу часу, за який ця зміна відбулася.

Одиниця прискорення в СІ — метр на секунду в квадраті:

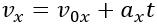
Формула, записана в проекціях на вісь координат (наприклад, на вісь OX):

\(1, 3\) — якщо прискорення напрямлене в бік руху тіла
, то швидкість руху тіла збільшується.
\(2\) — Якщо прискорення напрямлене протилежно до руху тіла
, то швидкість руху тіла зменшується.
\(4\) — Якщо
, то сили, які діють на тіло, скомпенсовані й тіло рухається рівномірно прямолінійно або перебуває у стані спокою.
\(2\) — Якщо прискорення напрямлене протилежно до руху тіла
\(4\) — Якщо

Рівноприскорений прямолінійний рух — це рух, під час якого швидкість руху тіла за будь-які рівні інтервали часу змінюється однаково.

Рівноприскорений прямолінійний рух — це рух, під час якого тіло рухається прямолінійною траєкторією з незмінним прискоренням.
Як визначити швидкість в будь-який момент часу при рівноприскореному прямолінійному русі?
Миттєва швидкість — це швидкість руху тіла в даний момент часу, швидкість руху в даній точці траєкторії.

Формула, записана в проекціях на вісь OX (спрямуємо вздовж траєкторії руху тіла):
Графіки залежності
для рівноприскореного прямолінійного руху.
Тіло \(1\) весь час збільшує швидкість свого руху:
.
Тіло \(2\) спочатку сповільнює свій рух:
, потім зупиняється (точка розвороту), після чого набирає швидкість, рухаючись у протилежному напрямку, оскільки
.

Джерела:
1. Фізика : підруч. для 9 кл. загальноосвіт. навч. закл. / [В. Г. Бар’яхтар С. О. Довгий, Ф. Я. Божинова, О. О. Кірюхіна] ; за ред. В. Г. Бар’яхтара С. О. Довгого. — Харків : Вид-во «Ранок», 2017. — 272 с. : іл., фот.
2. Фізика : підруч. для 9-го кл. загальноосвіт. навч. закл. / В.Д. Сиротюк. — Київ : Генеза, 2017. — 248 с. : іл.
3. Фізика : підруч. для 9 кл. загальноосвіт. навч. закладів / Т. М. Засєкіна, Д. О. Засєкін. — К. : УОВЦ «Оріон», 2017. — 272 с. : іл.
2. Фізика : підруч. для 9-го кл. загальноосвіт. навч. закл. / В.Д. Сиротюк. — Київ : Генеза, 2017. — 248 с. : іл.
3. Фізика : підруч. для 9 кл. загальноосвіт. навч. закладів / Т. М. Засєкіна, Д. О. Засєкін. — К. : УОВЦ «Оріон», 2017. — 272 с. : іл.
4. https://www.fizikanova.com.ua