Траєкторія руху м’яча, кинутого вертикально вниз або вгору, — пряма.
З певної висоти тіло можуть кидати і в горизонтальному напрямку — траєкторією руху снаряду буде вітка параболи.
Струмінь води, випущений під кутом до горизонту, теж опише частину параболи.
З певної висоти тіло можуть кидати і в горизонтальному напрямку — траєкторією руху снаряду буде вітка параболи.
Струмінь води, випущений під кутом до горизонту, теж опише частину параболи.



Під дією якої сили відбуваються рухи всіх цих тіл? (Рухи всіх цих тіл відбуваються тільки під дією сили тяжіння, тобто маємо справу з вільним падінням)
Чому ж ці рухи так відрізняються? (Причина — в різних початкових умовах)
Чому ж ці рухи так відрізняються? (Причина — в різних початкових умовах)
Як дані рухи охарактеризувати?
Розглянемо рух тіла, кинутого вертикально
Рух тіла, кинутого вертикально вгору або вниз, — це рівноприскорений прямолінійний рух із прискоренням, що дорівнює прискоренню вільного падіння: 

Щоб математично описати рух тіла, кинутого вертикально вгору або вниз (вільне падіння тіла), скористаємося формулами залежності швидкості, переміщення та координати від часу для рівноприскореного прямолінійного руху.
Підійдемо до запису формул, які описують вільне падіння, «технічно».
Підійдемо до запису формул, які описують вільне падіння, «технічно».

Розглянемо рух тіла, кинутого горизонтально
Рух тіла, кинутого горизонтально, складається з двох рухів:
1) рівномірного — уздовж осі OX зі швидкістю
2) рівноприскореного — уздовж осі OY без початкової швидкості та з прискоренням
Уздовж осі OX тіло рухається рівномірно, тому швидкість
руху тіла є незмінною і дорівнює початковій швидкості
, а дальність l польоту тіла за час t дорівнює добутку початкової швидкості
і часу t руху тіла:
Уздовж осі OY тіло вільно падає, тому швидкість його руху та висоту падіння визначимо за формулами:


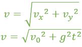
Модуль швидкості руху тіла в довільній точці траєкторії обчислимо, скориставшись теоремою Піфагора:


Джерела:
1. Фізика : підруч. для 9 кл. загальноосвіт. навч. закл. / [В. Г. Бар’яхтар С. О. Довгий, Ф. Я. Божинова, О. О. Кірюхіна] ; за ред. В. Г. Бар’яхтара С. О. Довгого. — Харків : Вид-во «Ранок», 2017. — 272 с. : іл., фот.
2. Фізика : підруч. для 9-го кл. загальноосвіт. навч. закл. / В.Д. Сиротюк. — Київ : Генеза, 2017. — 248 с. : іл.
3. Фізика : підруч. для 9 кл. загальноосвіт. навч. закладів / Т. М. Засєкіна, Д. О. Засєкін. — К. : УОВЦ «Оріон», 2017. — 272 с. : іл.
2. Фізика : підруч. для 9-го кл. загальноосвіт. навч. закл. / В.Д. Сиротюк. — Київ : Генеза, 2017. — 248 с. : іл.
3. Фізика : підруч. для 9 кл. загальноосвіт. навч. закладів / Т. М. Засєкіна, Д. О. Засєкін. — К. : УОВЦ «Оріон», 2017. — 272 с. : іл.
4. https://www.fizikanova.com.ua