Позначення кратних одиниць вимірювання довжини двійкового коду
У світі комп'ютерів існують дві системи вимірювання об'єму даних:
-
Десяткова система (на основі 10): У Міжнародній системі одиниць (СІ) використовуються префікси, як-от кіло- (к), мега- (М), гіга- (Г), де кожен наступний дорівнює 1000 попередніх одиниць (). Наприклад, 1 кілобайт (КБ) = 1000 байт. Цю систему часто використовують виробники жорстких дисків та інших пристроїв зберігання даних для зручності.
-
Двійкова система (на основі 2): використовує префікси, як-от кібі- (Кі), мебі- (Мі), гібі- (Гі), де кожен наступний дорівнює 1024 попередніх одиниць (\(2^{10}\)). Наприклад, 1 кібібайт (КіБ) = 1024 байт. Ця система більш точно відображає, як дані зберігаються в пам'яті комп'ютера. Цей стандарт іменування двійкових префіксів увела у 1999 році Міжнародна електротехнічна комісія (МЕК) . За цим стандартом 1 кілобайт вважається рівним 1000 байтів, а величина 1024 байтів отримала назву кібібайт (кіло бінарний байт), скорочено КіБ.
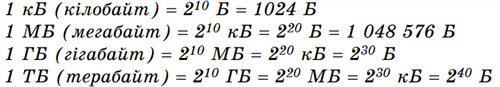
Кратні одиниці вимірювання довжини двійкового коду та їх назви

Але до цього часу виробники комп’ютерної техніки та програмного забезпечення майже не вживають позначення стандарту МЕК, а позначення кБ, МБ, ГБ, ТБ та інші використовують відповідно до історичних традицій (так звана звичайна конвенція):

Такі позначення одиниць вимірювання довжини двійкового коду використовують і в операційній системі Windows. Наприклад, якщо створити та зберегти текстовий файл, що містить 2048 символів, закодованих з використанням таблиці кодів символів ASCII, то у вікні його властивостей буде зазначено розмір 2,00 кБ (2048 байтів) (рис.1). Тому будемо вважати, що 1 кілобайт = 1024 байти

Рис.1
Кратні одиниці вимірювання довжини двійкового коду використовують для позначення розмірів файлів, ємності носіїв даних, обсягу даних, що передаються мережами, тощо.
Перехід від одних одиниць вимірювання довжини двійкового коду до інших
Довжину двійкового коду повідомлень можна вказувати в бітах, байтах і в кратних їм одиницях.
Задача 1. Довжина двійкового коду текстового повідомлення складає 4,5 МБ. Скільки символів у кодуванні Windows-1251 було закодовано?
Розв’язання. Оскільки в таблиці Windows-1251 один символ кодується одним байтом, то для отримання відповіді на запитання потрібно виразити 4,5 МБ в байтах.
Для переходу від мегабайтів до байтів спочатку виразимо довжину двійкового коду цього повідомлення в кілобайтах. За домовленістю вважаємо 1 МБ = 1024 кБ.
4,5 МБ = 4,5 ∙ 1024 кБ = 4608 кБ.
Переведемо кілобайти в байти, враховуючи, що 1 кБ = 1024 Б.
4608 кБ = 4608 ∙ 1024 Б = 4 718 592 Б.
Відповідь: було закодовано 4 718 592 символи.
Задача 2. Обчислити наближено довжину двійкового коду тексту підручника з інформатики (не враховуючи форматування та малюнки).
Розв’язання. Уважатимемо, що текст закодовано з використанням таблиці кодів символів Windows-1251, тобто довжина двійкового коду кожного символа складає 1 Б.
У кожному рядку тексту міститься приблизно 60 символів, тобто довжина двійкового коду рядка складає приблизно 60 Б. На кожній сторінці розміщено в середньому 50 рядків. Таким чином, довжина двійкового коду сторінки складає приблизно 60 ∙ 50 = 3000 (Б) .
У підручнику приблизно 250 сторінок, тобто довжина двійкового коду підручника складає приблизно 3000 ∙ 250 = 750 000 (Б).
Перейдемо до крупнішої одиниці вимірювання довжини двійкового коду:
750 000 Б : 1024 ≈ 732,4 кБ.
Відповідь: довжина двійкового коду тексту підручника з інформатики складає приблизно 732,4 кБ.
Задача 3. Обчислити розмір файлу зображення, створеного у графічному редакторі Paint. Файл формату BMP збережено як 24-розрядний рисунок. Зображення має ширину 25 та висоту 20 пікселів.
Розв’язання. Для розрахунку довжини двійкового коду зображення з указаними значеннями властивостей потрібно знайти суму довжин коду заголовка (54 байти) та кодів кольорів усіх пікселів зображення.
Обчислимо довжину двійкового коду кольорів одного рядка зображення, враховуючи, що в рядку 25 пікселів, а у 24-розрядному рисунку колір кожного пікселя кодується трьома байтами:
25 ∙ 3 Б = 75 Б.
Відповідно до алгоритму кодування довжина коду рядка повинна бути кратна числу 4, тому до отриманої довжини може бути додано від 1 до 3 байтів так званого вирівнювання рядків. У даному випадку вирівнювання складає 1 Б, а довжина коду рядка вважатиметься рівною 76 Б.
Обчислимо довжину двійкового коду кольорів усіх пікселів зображення, враховуючи, що воно складається з 20 рядків:
20 ∙ 76 Б = 1520 Б.
Загальна довжина двійкового коду заголовка та кольорів пікселів:
54 Б + 1520 Б = 1574 Б.
Відповідь: розмір файлу зображення 1574 Б.
Джерела:
Інформатика : підруч. для 8-го кл. закл. заг. серед. освіти / Й. Ривкінд та ін. — Київ : Генеза, 2025
Інформатика : підруч. для 8 кл. закл. загал. серед. освіти / [О. О. Бондаренко, В. В. Ластовецький, О. П. Пилипчук, Є. А. Шестопалов]. — Харків : Вид-во «Ранок», 2025