Спрямуємо на поверхню води в широкій посудині вузький пучок світла під деяким кутом до поверхні. Ми помітимо, що в точках падіння промені проходять у воду, змінюючи при цьому свій напрямок.

Заломленням світла — це зміна напрямку поширення світла в разі його переходу з одного середовища в інше.

Заломлення світла в разі його переходу з повітря в скло:
α — кут падіння
β — кут відбивання
γ (гамма) — кут заломлення (утворений заломленим променем і перпендикуляром до межі поділу двох середовищ)
α — кут падіння
β — кут відбивання
γ (гамма) — кут заломлення (утворений заломленим променем і перпендикуляром до межі поділу двох середовищ)
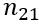
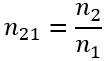
Установлення законів заломлення світла:
В разі зменшення кута падіння
, кут заломлення теж зменшується
, при цьому:

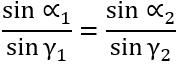
Закони заломлення світла:
1. Промінь падаючий, промінь заломлений і перпендикуляр до межі поділу середовищ, встановлений із точки падіння променя, лежать в одній площині.
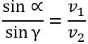
2. Відношення синуса кута падіння до синуса кута заломлення для двох даних середовищ є незмінною величиною:
, деЧому ж світло, переходячи з одного середовища в інше, змінює свій напрямок?
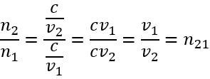
Швидкість світла у вакуумі — \(300\ 000\ км/с\). У будь-якому іншому середовищі швидкість світла є меншою, ніж у вакуумі (у воді швидкість світла в \(1,33\) разу менша, ніж у вакуумі).
Причиною заломлення світла є зміна швидкості поширення світла в разі переходу з одного прозорого середовища в інше.
Прийнято говорити про оптичну густину середовища: чим менша швидкість світла в середовищі, тим більшою є його оптична густина.

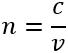
Показник заломлення

За \(2-м\) законом заломлення світла:
, тому 
Проаналізувавши останню формулу, бачимо:
- чим більше змінюється швидкість світла, тим більше світло заломлюється;
- якщо промінь світла переходить у середовище з більшою оптичною густиною (тобто швидкість світла зменшується), то кут заломлення є меншим від кута падіння:
; - якщо промінь світла переходить у середовище з меншою оптичною густиною (тобто швидкість світла збільшується), то кут заломлення є більшим за кут падіння:
.
Абсолютний показник заломлення показує, у скільки разів швидкість поширення світла в середовищі менша, ніж у вакуумі:

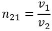
Як пов’язані між собою абсолютний та відносний показники заломлення?
,
, отже:
, деПовне внутрішнє відбивання світла — явище, за якого заломлення світла відсутнє, тобто світло повністю відбивається від середовища з меншою оптичною густиною.

Головне застосування цього явища пов’язане з волоконною оптикою. Якщо в торець суцільної скляної «нитки» спрямувати пучок світла, то після багаторазового відбивання світло вийде на її протилежному кінці незалежно від того, якою буде трубка — вигнутою чи прямою. Таку нитку називають світловодом.
Світловоди застосовують:
- у техніці, зокрема для виявлення несправностей усередині двигунів без їх розбирання;
- у медицині для дослідження внутрішніх органів (ендоскопія);
- для освітлення сонячним світлом закритих приміщень;
- як кабелі для передачі інформації (волоконно-оптичні лінії зв’язку), коли ми дивимося телевізор або користуємося Інтернетом, то, скоріш за все, й не здогадуємося, що більшу частину свого «шляху» сигнал долає «скляною дорогою»;
- у декоративних світильниках.
Джерела:
1. Фізика : підруч. для 9 кл. загальноосвіт. навч. закл. / [В. Г. Бар’яхтар С. О. Довгий, Ф. Я. Божинова, О. О. Кірюхіна] ; за ред. В. Г. Бар’яхтара С. О. Довгого. — Харків : Вид-во «Ранок», 2017. — 272 с. : іл., фот.
2. Фізика : підруч. для 9-го кл. загальноосвіт. навч. закл. / В.Д. Сиротюк. — Київ : Генеза, 2017. — 248 с. : іл.
3. Фізика : підруч. для 9 кл. загальноосвіт. навч. закладів / Т. М. Засєкіна, Д. О. Засєкін. — К. : УОВЦ «Оріон», 2017. — 272 с. : іл.
2. Фізика : підруч. для 9-го кл. загальноосвіт. навч. закл. / В.Д. Сиротюк. — Київ : Генеза, 2017. — 248 с. : іл.
3. Фізика : підруч. для 9 кл. загальноосвіт. навч. закладів / Т. М. Засєкіна, Д. О. Засєкін. — К. : УОВЦ «Оріон», 2017. — 272 с. : іл.